Назад

 

Город

ВУЗ

Группа

Факультет

ФИО

 

Дифференциальные уравнения

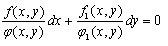
1. Дифференциальным уравнением с разделяющимися переменными называется уравнение вида:
a).
b).
c).
d).
 
2. Найдите общий интеграл уравнения (x^2+2xy)dx+xydy=0
a).
b).
с).
d).
 
3. Линейным дифференциальным уравнением первого порядка называется уравнение вида:
а).
b).
с).
d).
 
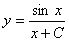
4. Проинтегрировать дифференциальное уравнение
а).
b).
с).
d).
 
5. Уравнением Бернулли называется уравнение вида
а).
b).
с).
d).
 
6. Для уравнения в полных дифференциалах должно выполняться условие:
а).
b).
c).
d).
 
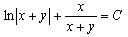
7. Проинтегрировать уравнение
а).
b).
с).
d).
 
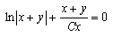
8. Решить уравнение
а).
b).
с).
d).
 
9. Проинтегрировать уравнение
а).
b).
с).
d).
 
10. Решить линейное неоднородное уравнение
а).
b).
с).
d).